专利数据库
统计分析
产业报告
专利数据监控
产业人才
行业动态
产业政策法规
维权援助
个人中心
详情
文本
图像
标题
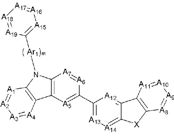
발명의 명칭 신규한 유기 발광 화합물 및 이를 포함하는 유기 전계 발광 소자
授权日
2014-08-12
公开(公告)号
KR101431644B1
申请日
2009-08-10
公开(公告)日
2014-08-21
当前申请(专利权)人
롬엔드하스전자재료코리아유한회사
发明人
이수용 | 조영준 | 권혁주 | 김봉옥 | 김성민 | 윤승수
简单同族
CN102918134A | CN102918134B | CN104193732A | KR101431644B1 | KR1020110015836A | TW201120186A | TWI527875B | US20120235123A1 | US20150171341A1 | WO2011019156A1
简单同族成员数量
10
简单同族被引用专利总数
307
诉讼案件数
0
法律状态/事件
授权
抱歉,您的浏览器不支持PDF预览,请点击链接下载PDF文件