专利数据库
统计分析
产业报告
专利数据监控
产业人才
行业动态
产业政策法规
维权援助
个人中心
详情
文本
图像
标题
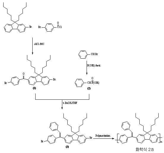
곁사슬에 비닐기를 갖는 유기 전기발광고분자 및 이를이용한 전기발광소자
授权日
2007-11-02
公开(公告)号
KR100775271B1
申请日
2003-12-30
公开(公告)日
2007-11-08
当前申请(专利权)人
에스케이이노베이션 주식회사
发明人
유홍 | 신동철 | 진재규 | 권순기 | 김형선
简单同族
KR100775271B1 | KR1020050070536A
简单同族成员数量
2
简单同族被引用专利总数
0
诉讼案件数
0
法律状态/事件
未缴年费
抱歉,您的浏览器不支持PDF预览,请点击链接下载PDF文件