专利数据库
统计分析
产业报告
专利数据监控
产业人才
行业动态
产业政策法规
维权援助
个人中心
详情
文本
图像
标题
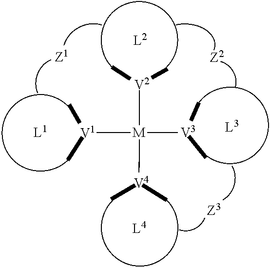
Metal compounds, methods, and uses thereof
授权日
1900-01-01
公开(公告)号
US20150228914A1
申请日
2013-09-24
公开(公告)日
2015-08-13
当前申请(专利权)人
ARIZONA BOARD OF REGENTS FOR AND ON BEHALF OF ARIZONA STATE UNIVERSITY
发明人
LI, JIAN | LI, GUIJIE
简单同族
KR1020150058301A | KR102124227B1 | US10622571 | US20150228914A1 | US20180226592A1 | US20200227660A1 | US9882150 | WO2014047616A1
简单同族成员数量
8
简单同族被引用专利总数
46
诉讼案件数
0
法律状态/事件
授权 | 权利转移
抱歉,您的浏览器不支持PDF预览,请点击链接下载PDF文件