专利数据库
统计分析
产业报告
专利数据监控
产业人才
行业动态
产业政策法规
维权援助
个人中心
详情
文本
图像
标题
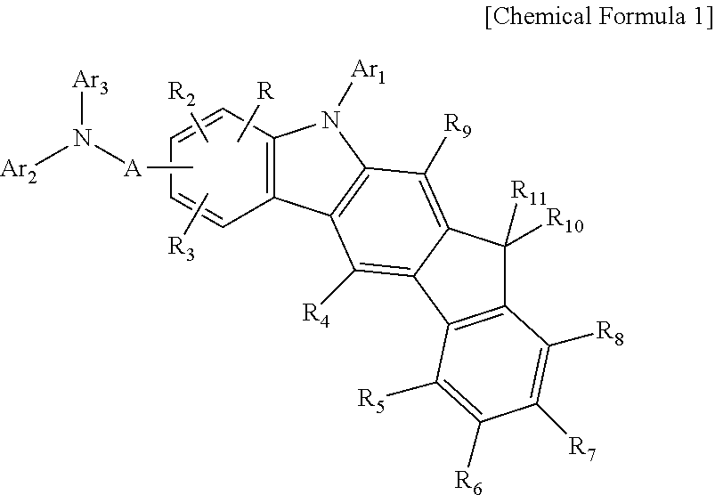
Compound having indenocarbazole ring structure, and organic electroluminescent device
授权日
1900-01-01
公开(公告)号
US20130126856A1
申请日
2011-07-29
公开(公告)日
2013-05-23
当前申请(专利权)人
HODOGAYA CHEMICAL CO., LTD.
发明人
YOKOYAMA, NORIMASA | NAGAOKA, MAKOTO | TOGASHI, KAZUNORI | KASE, KOUKI | TAKAHASHI, EIJI
简单同族
CN103038215A | CN103038215B | CN106977448A | EP2599773A1 | EP2599773A4 | EP2599773B1 | EP3222613A1 | JP2016199547A | JP5936229B2 | JP6374905B2 | JPWO2012014500A1 | JPWO2012014500A5 | KR101918304B1 | KR1020130093106A | TW201226392A | TWI516475B | US20130126856A1 | US9196837 | WO2012014500A1
简单同族成员数量
19
简单同族被引用专利总数
69
诉讼案件数
0
法律状态/事件
授权 | 权利转移
抱歉,您的浏览器不支持PDF预览,请点击链接下载PDF文件