专利数据库
统计分析
产业报告
专利数据监控
产业人才
行业动态
产业政策法规
维权援助
个人中心
详情
文本
图像
标题
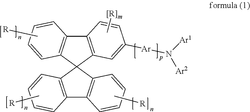
Materials for organic electroluminescent devices
授权日
1900-01-01
公开(公告)号
US20160190447A1
申请日
2016-03-03
公开(公告)日
2016-06-30
当前申请(专利权)人
MERCK PATENT GMBH
发明人
PFLUMM, CHRISTOF | PARHAM, AMIR HOSSAIN | BROCKE, CONSTANZE | MONTENEGRO, ELVIRA | VOGES, FRANK | HEIL, HOLGER | BUESING, ARNE
简单同族
CN103108859A | CN103108859B | DE102010045405A1 | EP2616428A1 | EP2616428B1 | JP2013544757A | JP5917521B2 | KR101663355B1 | KR1020130099098A | KR1020160114729A | KR1020190004368A | KR102107365B1 | TW201229007A | TWI503300B | US20130207046A1 | US20160190447A1 | US9312495 | US9947874 | WO2012034627A1
简单同族成员数量
19
简单同族被引用专利总数
334
诉讼案件数
0
法律状态/事件
授权 | 权利转移
抱歉,您的浏览器不支持PDF预览,请点击链接下载PDF文件