专利数据库
统计分析
产业报告
专利数据监控
产业人才
行业动态
产业政策法规
维权援助
个人中心
详情
文本
图像
标题
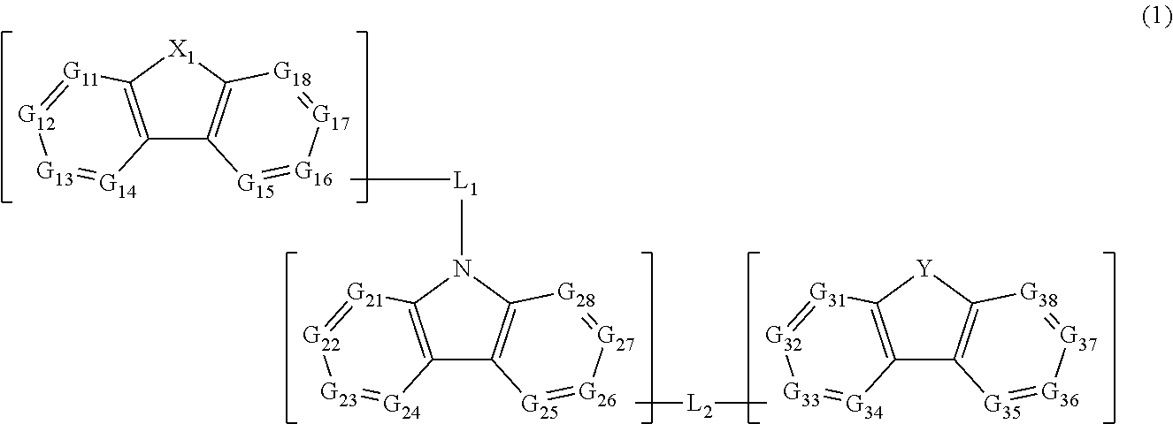
Material for organic electroluminescent elements, and organic electroluminescent element using same
授权日
1900-01-01
公开(公告)号
US20130270540A1
申请日
2011-12-26
公开(公告)日
2013-10-17
当前申请(专利权)人
IDEMITSU KOSAN CO., LTD.
发明人
NUMATA, MASAKI
简单同族
CN103262287A | EP2660890A1 | EP2660890A4 | JP6034196B2 | JPWO2012090967A1 | KR101867115B1 | KR1020140015285A | TW201226405A | US20130270540A1 | US9923151 | WO2012090967A1
简单同族成员数量
11
简单同族被引用专利总数
46
诉讼案件数
0
法律状态/事件
授权 | 权利转移
抱歉,您的浏览器不支持PDF预览,请点击链接下载PDF文件