专利数据库
统计分析
产业报告
专利数据监控
产业人才
行业动态
产业政策法规
维权援助
个人中心
详情
文本
图像
标题
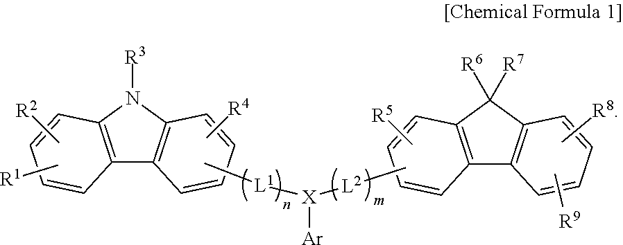
Compound for organic optoelectronic device, organic light emitting diode including the same, and display device including the light emitting diode
授权日
2016-10-25
公开(公告)号
US9478753
申请日
2013-11-06
公开(公告)日
2016-10-25
当前申请(专利权)人
CHEIL INDUSTRIES, INC.
发明人
JUNG, SUNG-HYUN | HUH, DAL-HO | RYU, DONG-WAN | LEE, KYOUNG-MI | KANG, EUI-SU | CHAE, MI-YOUNG
简单同族
CN102372661A | EP2421064A2 | EP2421064A3 | EP2421064B1 | US20120043531A1 | US20140070199A1 | US9478753
简单同族成员数量
7
简单同族被引用专利总数
63
诉讼案件数
0
法律状态/事件
授权
抱歉,您的浏览器不支持PDF预览,请点击链接下载PDF文件