专利数据库
统计分析
产业报告
专利数据监控
产业人才
行业动态
产业政策法规
维权援助
个人中心
详情
文本
图像
标题
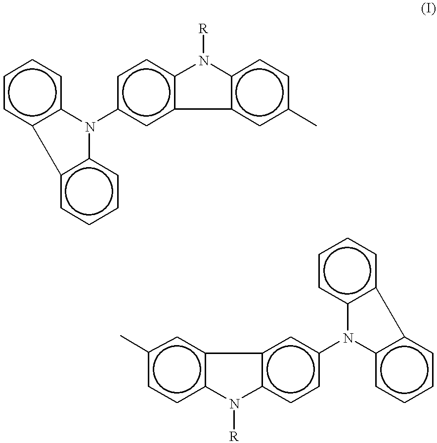
Hole transporting compounds having good thermal stability for organic electroluminescent device and method for production thereof
授权日
1900-01-01
公开(公告)号
US20010046612A1
申请日
2001-02-08
公开(公告)日
2001-11-29
当前申请(专利权)人
SAMSUNG MOBILE DISPLAY CO., LTD.
发明人
LEE, JI-HOON | KEE, IN-SEO | CHO, SUNG-WOO | CHAE, BYUNG-HOON
简单同族
JP2001220380A | JP3335985B2 | KR100346984B1 | KR1020010077773A | US20010046612A1 | US6451461
简单同族成员数量
6
简单同族被引用专利总数
92
诉讼案件数
0
法律状态/事件
授权 | 权利转移
抱歉,您的浏览器不支持PDF预览,请点击链接下载PDF文件