专利数据库
统计分析
产业报告
专利数据监控
产业人才
行业动态
产业政策法规
维权援助
个人中心
详情
文本
图像
标题
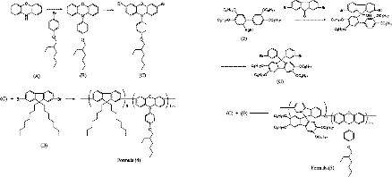
Blue electroluminescent polymer and organic-electroluminescent device using the same
授权日
2006-01-10
公开(公告)号
US6984461
申请日
2003-06-20
公开(公告)日
2006-01-10
当前申请(专利权)人
SAMSUNG DISPLAY CO., LTD.
发明人
SON, JHUN-MO | PARK, SANG-HOON | LEE, JEONG-YEOL | BEEK, WOON-JUNG | SATO, HISAYA
简单同族
CN100532497C | CN1483783A | JP2004137456A | JP4313101B2 | US20040072989A1 | US6984461
简单同族成员数量
6
简单同族被引用专利总数
145
诉讼案件数
0
法律状态/事件
授权 | 权利转移
抱歉,您的浏览器不支持PDF预览,请点击链接下载PDF文件