专利数据库
统计分析
产业报告
专利数据监控
产业人才
行业动态
产业政策法规
维权援助
个人中心
详情
文本
图像
标题
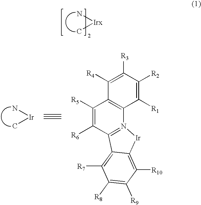
Red luminescent compound and organic electroluminescent device using the same
授权日
1900-01-01
公开(公告)号
US20040127710A1
申请日
2003-12-12
公开(公告)日
2004-07-01
当前申请(专利权)人
SAMSUNG DISPLAY CO., LTD.
发明人
PARK, SOO-JIN | LEE, KWAN-HEE | KIM, JAE-IL | LEE, JIN-KYU | KWON, JANG-HYUK
简单同族
CN1517427A | JP2004210779A | JP4284169B2 | KR100509603B1 | KR1020040059304A | US20040127710A1 | US7265224
简单同族成员数量
7
简单同族被引用专利总数
133
诉讼案件数
0
法律状态/事件
授权 | 权利转移
抱歉,您的浏览器不支持PDF预览,请点击链接下载PDF文件