专利数据库
统计分析
产业报告
专利数据监控
产业人才
行业动态
产业政策法规
维权援助
个人中心
详情
文本
图像
标题
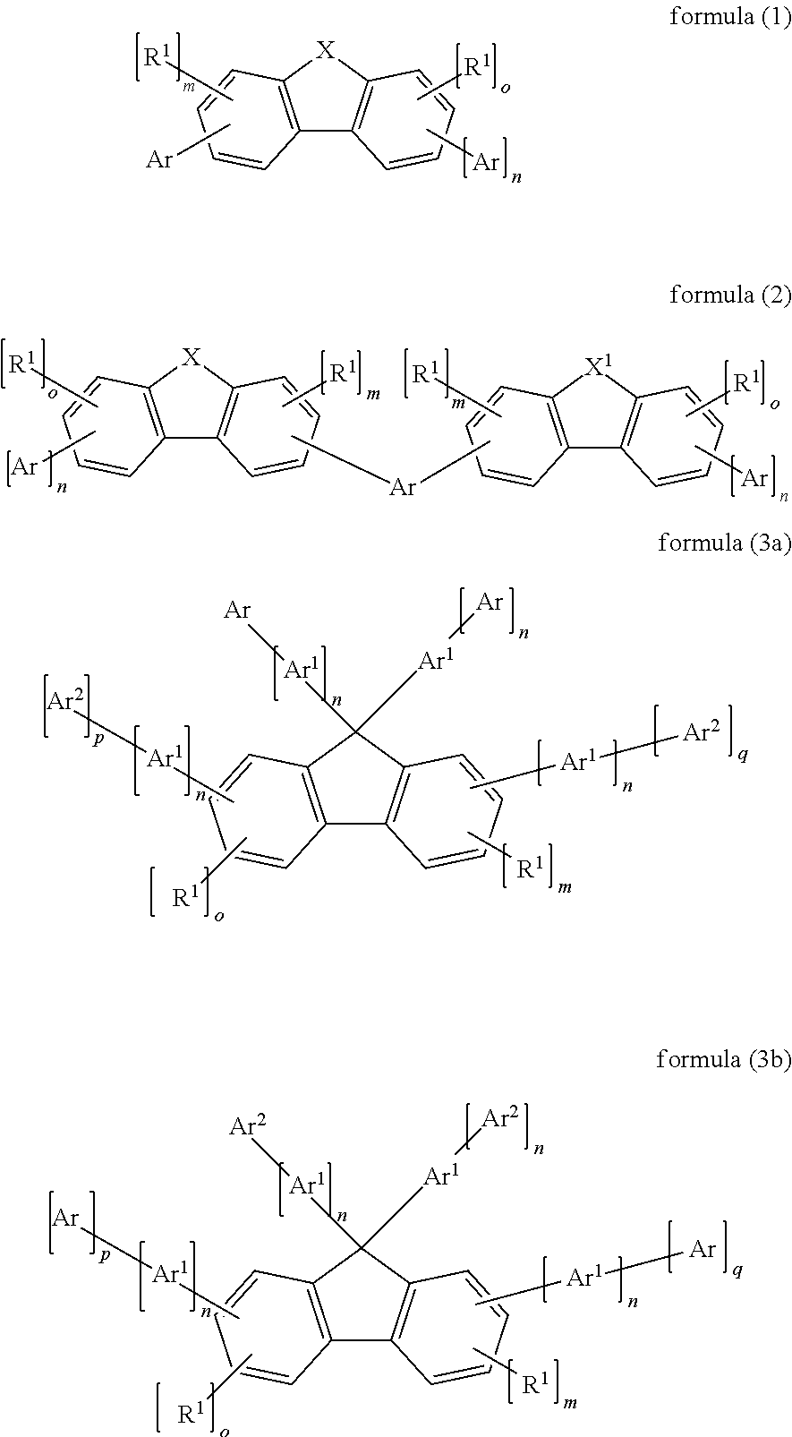
Materials for organic electroluminescent devices
授权日
2015-12-01
公开(公告)号
US9199972
申请日
2010-10-28
公开(公告)日
2015-12-01
当前申请(专利权)人
MERCK PATENT GMBH
发明人
PARHAM, AMIR HOSSAIN | KAISER, JOACHIM | GERHARD, ANJA | KROEBER, JONAS VALENTIN | ANEMIAN, REMI MANOUK
简单同族
CN102762546A | CN102762546B | DE102009053645A1 | DE112010004480A5 | JP2013510890A | JP5944319B2 | KR101839627B1 | KR1020120113735A | US20120228552A1 | US9199972 | WO2011060877A2 | WO2011060877A3
简单同族成员数量
12
简单同族被引用专利总数
100
诉讼案件数
0
法律状态/事件
授权 | 权利转移
抱歉,您的浏览器不支持PDF预览,请点击链接下载PDF文件