专利数据库
统计分析
产业报告
专利数据监控
产业人才
行业动态
产业政策法规
维权援助
个人中心
详情
文本
图像
标题
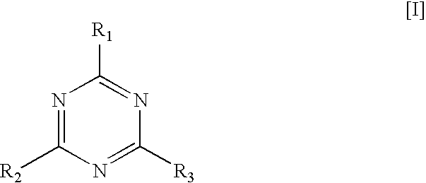
Organic compound and organic light-emitting device
授权日
1900-01-01
公开(公告)号
US20060051616A1
申请日
2005-09-02
公开(公告)日
2006-03-09
当前申请(专利权)人
CANON KABUSHIKI KAISHA
发明人
SUZUKI, KOICHI | UENO, KAZUNORI | TSUBOYAMA, AKIRA | YOGI, SEIICHI
简单同族
JP2006076901A | JP2006076901A5 | JP4541809B2 | US20060051616A1 | US7749617
简单同族成员数量
5
简单同族被引用专利总数
53
诉讼案件数
0
法律状态/事件
未缴年费 | 权利转移
抱歉,您的浏览器不支持PDF预览,请点击链接下载PDF文件