专利数据库
统计分析
产业报告
专利数据监控
产业人才
行业动态
产业政策法规
维权援助
个人中心
详情
文本
图像
标题
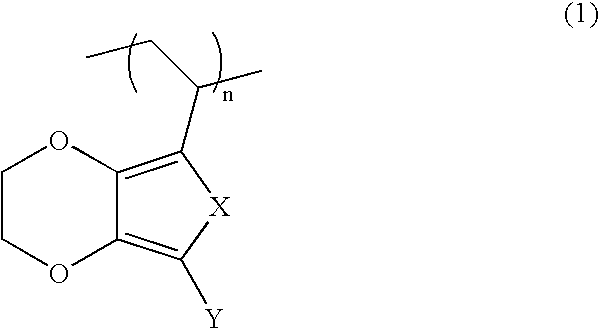
Composite Material Including organic Compound And Inorganic Compound Light-Emitting Element And Light-Emitting Device Using The Composite Compound, And Manufacturing Method Of The Light-Emitting Element
授权日
1900-01-01
公开(公告)号
US20070216292A1
申请日
2005-12-02
公开(公告)日
2007-09-20
当前申请(专利权)人
SEMICONDUCTOR ENERGY LABORATORY CO., LTD.
发明人
SEO, SATOSHI | SHITAGAKI, SATOKO | ABE, HIROKO | TAKASU, TAKAKO | NOMURA, RYOJI
简单同族
CN101116197A | CN101116197B | CN101851499A | CN101851499B | JP2012039131A | JP5264021B2 | KR101267040B1 | KR1020070101262A | US20070216292A1 | US20130277652A1 | WO2006062177A1
简单同族成员数量
11
简单同族被引用专利总数
48
诉讼案件数
0
法律状态/事件
撤回 | 权利转移
抱歉,您的浏览器不支持PDF预览,请点击链接下载PDF文件