专利数据库
统计分析
产业报告
专利数据监控
产业人才
行业动态
产业政策法规
维权援助
个人中心
详情
文本
图像
标题
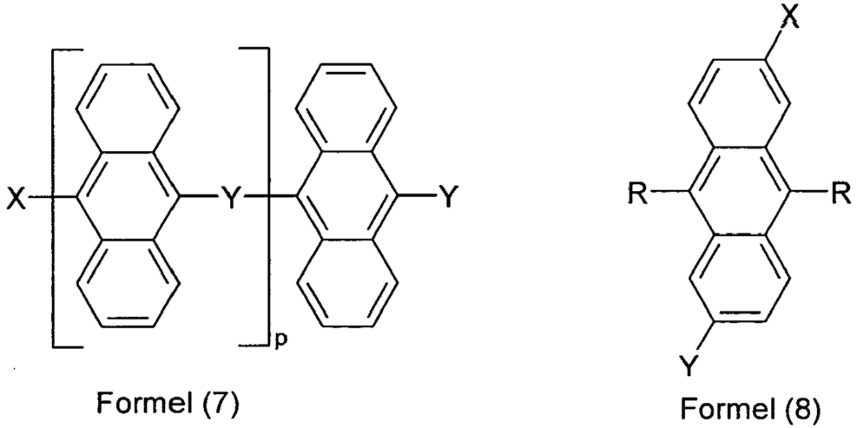
New materials for organic electroluminescence devices
授权日
2017-08-09
公开(公告)号
EP1888707B1
申请日
2006-05-16
公开(公告)日
2017-08-09
当前申请(专利权)人
MERCK PATENT GMBH
发明人
HEIL, HOLGER | BUESING, ARNE | STOESSEL, PHILIPP | VESTWEBER, HORST
简单同族
DE102005026651A1 | EP1888707A1 | EP1888707B1 | JP2008545762A | JP5454854B2 | TW200704751A | US20090128009A1 | US20140203215A1 | US8679645 | US9893292 | WO2006131192A1
简单同族成员数量
11
简单同族被引用专利总数
129
诉讼案件数
0
法律状态/事件
授权
抱歉,您的浏览器不支持PDF预览,请点击链接下载PDF文件