专利数据库
统计分析
产业报告
专利数据监控
产业人才
行业动态
产业政策法规
维权援助
个人中心
详情
文本
图像
标题
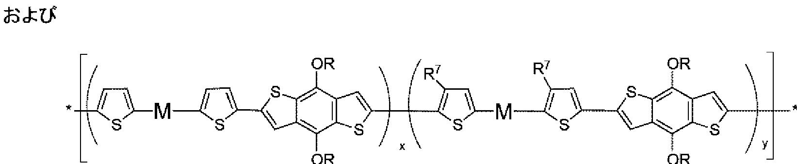
共役ポリマーおよび光電子デバイスにおけるその使用
授权日
2013-06-14
公开(公告)号
JP5292514B2
申请日
2010-05-21
公开(公告)日
2013-09-18
当前申请(专利权)人
ポリエラ コーポレイション
发明人
ジュー, ジェングオ | ドレース, マルティン | パン, ホアロン | ヤオ, ヤン | ヤン, ヘー | ルー, シャオフェン | ファチェッティ, アントニオ
简单同族
CN102439059A | CN102439059B | CN102482402A | EP2432817A1 | EP2432817B1 | JP2012527784A | JP2012527784A5 | JP5292514B2 | KR101763954B1 | KR1020120030099A | TW201105701A | TWI511997B | US20100307594A1 | US20120187385A1 | US20130098448A1 | US8334456 | US8598449 | US8748739 | WO2010135701A1 | WO2010135723A2 | WO2010135723A3
简单同族成员数量
21
简单同族被引用专利总数
174
诉讼案件数
0
法律状态/事件
授权 | 权利转移
抱歉,您的浏览器不支持PDF预览,请点击链接下载PDF文件