专利数据库
统计分析
产业报告
专利数据监控
产业人才
行业动态
产业政策法规
维权援助
个人中心
详情
文本
图像
标题
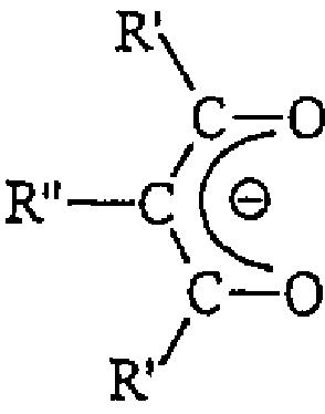
エレクトロルミネセント材料
授权日
1900-01-01
公开(公告)号
JP2008141223A
申请日
2008-02-22
公开(公告)日
2008-06-19
当前申请(专利权)人
メルク パテント ゲーエムベーハー
发明人
プーパシー カシルガマナサン
简单同族
AT302250T | AU1998081165A1 | AU741025B2 | CA2293532A1 | CN1260821A | DE69831234D1 | DE69831234T2 | EP0990016A1 | EP0990016B1 | GB9712483D0 | HK1027120A | ID24085A | IDP000009270B | JP2002505701A | JP2002505701A5 | JP2008141223A | JP4317926B2 | JP4405561B2 | KR1020010013809A | US6524727 | WO1998058037A1
简单同族成员数量
21
简单同族被引用专利总数
160
诉讼案件数
0
法律状态/事件
未缴年费 | 权利转移
抱歉,您的浏览器不支持PDF预览,请点击链接下载PDF文件