专利数据库
统计分析
产业报告
专利数据监控
产业人才
行业动态
产业政策法规
维权援助
个人中心
详情
文本
图像
标题
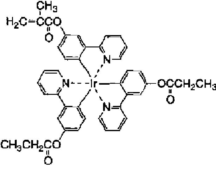
有機発光素子および発光材料
授权日
1900-01-01
公开(公告)号
JP2010135799A
申请日
2009-12-04
公开(公告)日
2010-06-17
当前申请(专利权)人
昭和電工株式会社
发明人
武内 正隆 | 内条 秀一 | 白根 浩朗
简单同族
JP2010135799A | JP5342420B2
简单同族成员数量
2
简单同族被引用专利总数
0
诉讼案件数
0
法律状态/事件
授权 | 权利转移
抱歉,您的浏览器不支持PDF预览,请点击链接下载PDF文件