专利数据库
统计分析
产业报告
专利数据监控
产业人才
行业动态
产业政策法规
维权援助
个人中心
详情
文本
图像
标题
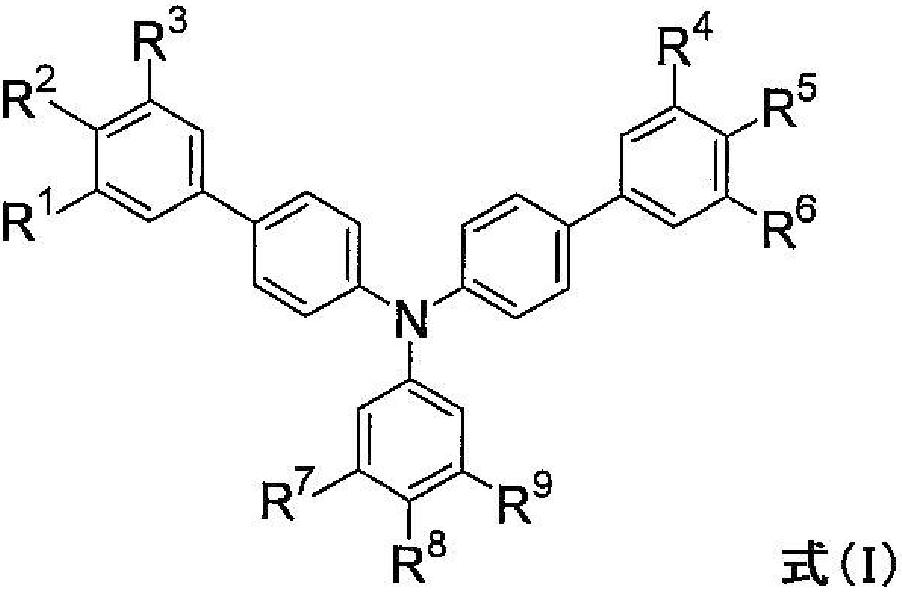
モノアミン化合物、電荷輸送材料および有機電界発光素子
授权日
2013-05-10
公开(公告)号
JP5261887B2
申请日
2006-04-27
公开(公告)日
2013-08-14
当前申请(专利权)人
三菱化学株式会社
发明人
矢部 昌義 | 畚野 真代 | 飯田 宏一朗 | 竹内 昌子 | 緒方 朋行
简单同族
CN101228647A | CN101228647B | EP1885008A1 | EP1885008A4 | EP1885008B1 | EP2339660A2 | EP2339660A3 | EP2634828A1 | JP2006352088A | JP5261887B2 | KR100989307B1 | KR101029949B1 | KR1020080014016A | KR1020100066587A | TW200712168A | TWI456024B | US20090230846A1 | US20130214263A1 | US20140361285A1 | US8427046 | US8877355 | WO2006123667A1
简单同族成员数量
22
简单同族被引用专利总数
129
诉讼案件数
0
法律状态/事件
授权 | 权利转移
抱歉,您的浏览器不支持PDF预览,请点击链接下载PDF文件