专利数据库
统计分析
产业报告
专利数据监控
产业人才
行业动态
产业政策法规
维权援助
个人中心
详情
文本
图像
标题
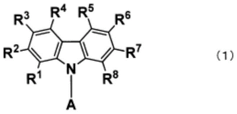
发光元件材料和发光元件
授权日
2016-06-29
公开(公告)号
CN103518271B
申请日
2012-05-08
公开(公告)日
2016-06-29
当前申请(专利权)人
东丽株式会社
发明人
长尾和真 | 富永刚 | 权晋友
简单同族
BR112013027966A2 | CN103518271A | CN103518271B | EP2709181A1 | EP2709181A4 | EP2709181B1 | JP5376063B2 | JPWO2012153725A1 | KR101971895B1 | KR1020140040133A | RU2013155190A | TW201245410A | TWI535821B | US20140070204A1 | US9391288 | WO2012153725A1
简单同族成员数量
16
简单同族被引用专利总数
68
诉讼案件数
0
法律状态/事件
授权
抱歉,您的浏览器不支持PDF预览,请点击链接下载PDF文件