专利数据库
统计分析
产业报告
专利数据监控
产业人才
行业动态
产业政策法规
维权援助
个人中心
详情
文本
图像
标题
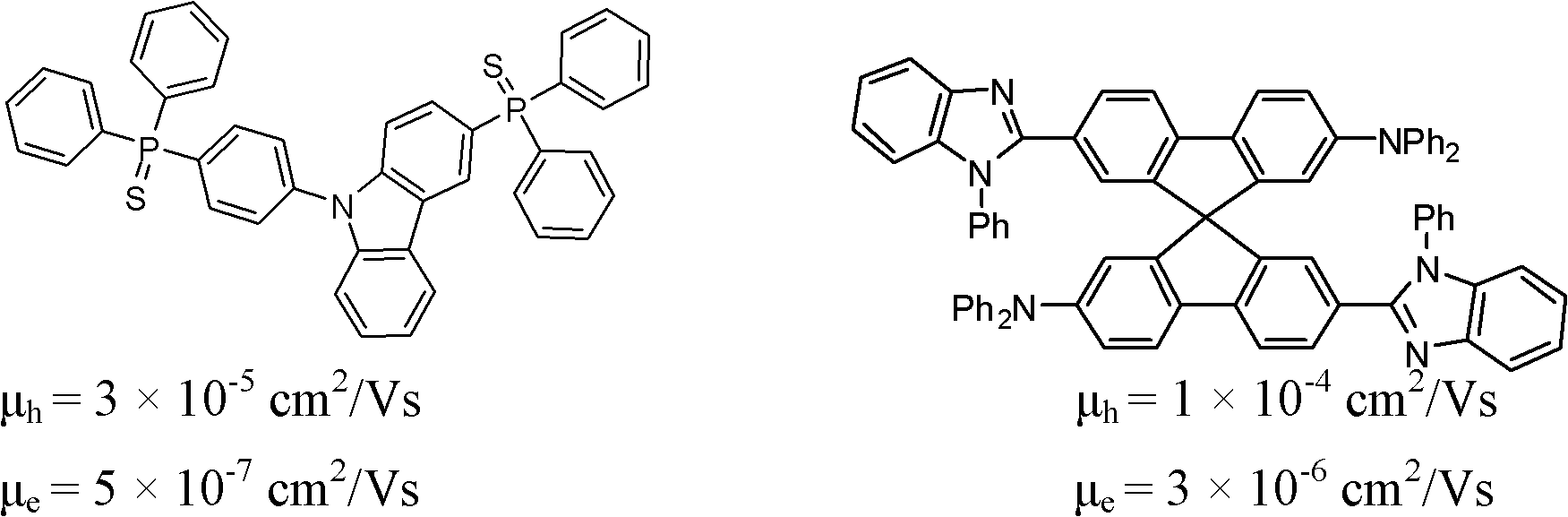
有机电致发光器件及双极性有机化合物的用途
授权日
1900-01-01
公开(公告)号
CN103187531A
申请日
2011-12-30
公开(公告)日
2013-07-03
当前申请(专利权)人
昆山维信诺显示技术有限公司 | 清华大学 | 北京维信诺科技有限公司
发明人
邱勇 | 谢静 | 段炼
简单同族
CN103187531A | CN103187531B
简单同族成员数量
2
简单同族被引用专利总数
95
诉讼案件数
0
法律状态/事件
授权
抱歉,您的浏览器不支持PDF预览,请点击链接下载PDF文件