专利数据库
统计分析
产业报告
专利数据监控
产业人才
行业动态
产业政策法规
维权援助
个人中心
详情
文本
图像
标题
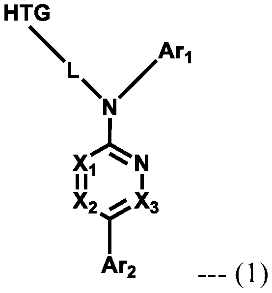
有机电致发光化合物及包含其的有机电致发光装置
授权日
1900-01-01
公开(公告)号
CN111247227A
申请日
2018-10-23
公开(公告)日
2020-06-05
当前申请(专利权)人
罗门哈斯电子材料韩国有限公司
发明人
金侈植 | 朴景秦
简单同族
CN111247227A | KR1020190047608A
简单同族成员数量
2
简单同族被引用专利总数
0
诉讼案件数
0
法律状态/事件
公开
抱歉,您的浏览器不支持PDF预览,请点击链接下载PDF文件