专利数据库
统计分析
产业报告
专利数据监控
产业人才
行业动态
产业政策法规
维权援助
个人中心
详情
文本
图像
标题
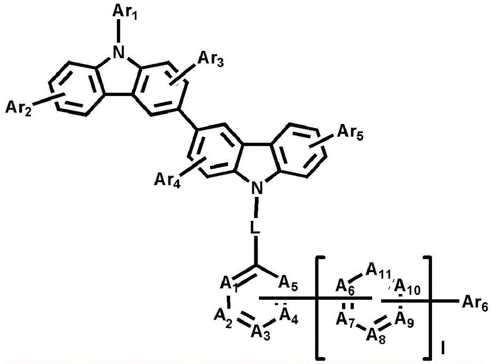
新有机电致发光化合物和使用该化合物的有机电致发光器件
授权日
2016-06-15
公开(公告)号
CN103384712B
申请日
2011-12-21
公开(公告)日
2016-06-15
当前申请(专利权)人
罗门哈斯电子材料韩国有限公司
发明人
李琇炫 | 黄守振 | 李仙优 | 文斗铉 | 李孝姃 | 梁绶晋 | 朴景泰 | 金侈植 | 赵英俊 | 权赫柱 | 李暻周 | 金奉玉
简单同族
CN103384712A | CN103384712B | EP2640806A1 | EP2640806A4 | JP2014505678A | KR101478000B1 | KR1020120070507A | TW201231617A | US20140084271A1 | WO2012087007A1
简单同族成员数量
10
简单同族被引用专利总数
53
诉讼案件数
0
法律状态/事件
授权
抱歉,您的浏览器不支持PDF预览,请点击链接下载PDF文件