专利数据库
统计分析
产业报告
专利数据监控
产业人才
行业动态
产业政策法规
维权援助
个人中心
详情
文本
图像
标题
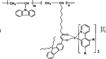
一种含铱磷光聚合物有机电致发光材料
授权日
2012-02-08
公开(公告)号
CN101531896B
申请日
2009-04-15
公开(公告)日
2012-02-08
当前申请(专利权)人
西安近代化学研究所
发明人
徐茂梁 | 周瑞 | 王歌扬 | 肖奇 | 王子俊 | 杜渭松 | 刘建韬 | 王户生
简单同族
CN101531896A | CN101531896B
简单同族成员数量
2
简单同族被引用专利总数
0
诉讼案件数
0
法律状态/事件
未缴年费
抱歉,您的浏览器不支持PDF预览,请点击链接下载PDF文件