专利数据库
统计分析
产业报告
专利数据监控
产业人才
行业动态
产业政策法规
维权援助
个人中心
详情
文本
图像
标题
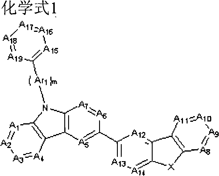
新有机电致发光化合物和使用该化合物的有机电致发光器件
授权日
1900-01-01
公开(公告)号
CN102918134A
申请日
2010-08-03
公开(公告)日
2013-02-06
当前申请(专利权)人
罗门哈斯电子材料韩国有限公司
发明人
李秀镛 | 赵英俊 | 权赫柱 | 金奉玉 | 金圣珉 | 尹勝洙
简单同族
CN102918134A | CN102918134B | CN104193732A | KR101431644B1 | KR1020110015836A | TW201120186A | TWI527875B | US20120235123A1 | US20150171341A1 | WO2011019156A1
简单同族成员数量
10
简单同族被引用专利总数
308
诉讼案件数
0
法律状态/事件
授权
抱歉,您的浏览器不支持PDF预览,请点击链接下载PDF文件